Oportunidades de empleo verde: ruta turística agroecológica Finca  El Coporo, una alternativa desde los asentamientos rurales

Green employment opportunities: Agroecological tourist route Finca El Coporo, an alternative to rural settlements

 

Alfonso José Fernández

Correspondencia: alfjosefer@gmail.com

 Universidad Nacional Experimental de los Llanos Occidentales Ezequiel Zamora, Venezuela

 

Recibido: 21 de abril de 2024

Aceptado: 03 de junio de 2024

 

DOI: https://doi.org/10.24265/turpatrim.2024.n22.07

 

Para citar este artículo:

Fernández, A. J. (2024). Oportunidades de empleo verde: ruta turística agroecológica Finca El Coporo, una alternativa desde los asentamientos rurales. Turismo y Patrimonio, 22, 127-145. https://doi.org/10.24265/turpatrim.2024.n22.07

 

Resumen

El turismo agroecológico emerge como una estrategia prometedora para el desarrollo local, impulsando la creación de empleos y la construcción de comunidades más resilientes y sostenibles. En este contexto, generar oportunidades de empleos verdes mediante la ruta turística agroecológica Finca El Coporo, en el asentamiento rural La Legua, Parroquia San Silvestre, Municipio Barinas, Venezuela, se presenta como una oportunidad para provocar un impacto positivo en la región. Para ello, se ha realizado un diagnóstico exhaustivo del territorio, identificando sus potencialidades turísticas y diseñando un producto turístico atractivo. La metodología empleada se basó en la investigación acción participativa, involucrando activamente a la comunidad en el proceso de diseño de la ruta. En conclusión, la creación de empleos verdes a través de la ruta turística agroecológica no solo contribuirá al desarrollo económico de la comunidad local, sino que también fomentará la conservación del medioambiente, la promoción de prácticas sostenibles y el fortalecimiento de la identidad cultural de la región. Es importante que se establezcan políticas y programas de capacitación para garantizar que los empleos creados sean de calidad, inclusivos y respetuosos con el entorno.

Palabras clave: asentamiento rural, oportunidades de empleos, rutas turísticas, sostenibilidad y turismo agroecológico

 

Abstract

Agroecological tourism emerges as a promising strategy for local development, promoting job creation and the construction of more resilient and sustainable communities. In this context, generating green job opportunities through the Finca El Coporo agroecological tourist route, in the rural settlement La Legua, San Silvestre Parish, Barinas Municipality, Venezuela, is presented as an opportunity to cause a positive impact in the region. To achieve this, an exhaustive diagnosis of the territory has been carried out, identifying its tourist potential and designing an attractive tourist product. The methodology used was based on participatory action research, actively involving the community in the route design process. In conclusion, the creation of green jobs through the agroecological tourism route will not only contribute to the economic development of the local community, but will also promote environmental conservation, the promotion of sustainable practices and the strengthening of the cultural identity of the region. It is important that policies and training programs are established to guarantee that the jobs created are of quality, inclusive and respectful of the environment.

Keywords: rural settlement, employment opportunities, tourist routes, sustainability and agroecological tourism

 

Introducción

La creación de oportunidades de empleo verde en el marco del turismo agroecológico es una estrategia efectiva para el desarrollo local y la construcción de comunidades más resilientes y sostenibles. En este sentido, el turismo agroecológico apunta al desarrollo de los asentamientos rurales, ofreciendo oportunidades de empleo verde, y promoviendo la conservación del ambiente y la cultura local (Fernández, 2024). Asimismo, la ruta turística agroecológica proporciona nuevos emprendimientos a través de los productos y servicios que se ofrecen en la localidad (López & Dávila, 2022).

 

Por lo antes indicado, las rutas turísticas plantean una oportunidad de empleo verde, lo que contribuye a la integración de las comunidades. Se aprovechan los saberes, prácticas y técnicas de los asentamientos rurales para la planificación y diseño de productos experienciales, que sean capaces de mover a un segmento de turistas o visitantes a vivir la experiencia, convivir con las comunidades y aprovechar los recursos naturales, agroecológicos y culturales. Para Faux y Domínguez (2023), «la participación activa de los jóvenes para fortalecer el arraigo territorial, tradiciones, costumbres y lengua nativa servirá a la población» (p. 98). Además, promueve la conservación del ambiente y la biodiversidad al fomentar prácticas sostenibles y respetuosas con el entorno. Asimismo, contribuye al desarrollo de las comunidades locales al valorar y promocionar sus tradiciones, productos y cultura.

 

Asimismo, la ruta turística agroecológica brinda la oportunidad a los visitantes de aprender sobre la producción de alimentos de manera responsable y saludable, así como de disfrutar experiencias únicas en contacto con la naturaleza y la vida rural. De esta manera, se fortalece el turismo rural y se diversifica la oferta turística en la región, atrayendo a un público interesado en el ecoturismo y el turismo responsable. Sumado a ello, es una iniciativa que beneficia tanto a los productores locales como a los visitantes, promoviendo un turismo sostenible, responsable y en armonía con el medioambiente.

 

En América Latina, las rutas turísticas basadas en productos agrícolas o ganaderos han ayudado al desarrollo socioeconómico, cultural y ambiental de los asentamientos rurales. En este sentido, Sánchez-Ruiz et al. (2020) plantean que la ruta turística Maíz y Cascadas «es una iniciativa innovadora que involucra activamente a los actores sociales, tanto públicos como privados, en la valorización y promoción del patrimonio biocultural y agroecológico de la región» (p. 54). Por otro lado, Rodríguez y González (2022) proponen la ruta turística agroecológica Jardín Botánico Ezequiel Zamora, la cual «aprovecharía la rica flora y fauna para ofrecer experiencias únicas a los visitantes, como ciclismo, observación de aves, creación de abonos orgánicos y sistemas productivos, impulsando el desarrollo sostenible y la integración de la cultura local» (p. 10).

 

La ruta turística agroecológica se presenta como una estrategia innovadora para diversificar las oportunidades de empleo en las zonas rurales, especialmente entre los jóvenes. Esta iniciativa busca integrar a la comunidad en el desarrollo endógeno del asentamiento rural, promoviendo un turismo sostenible que valore la cultura local y la riqueza natural. Además, esta modalidad permitirá a los visitantes experimentar de cerca las actividades agrícolas, pecuarias y ganaderas de la región, conectando con las costumbres y tradiciones que forman parte de la identidad local.

 

Por otra parte, Venezuela se presenta como un destino turístico sin igual que cautiva a los visitantes con su rica cultura y exuberante biodiversidad. Entre sus encantos, destaca el estado Barinas, ubicado en la región de los llanos occidentales. Su emplazamiento estratégico lo convierte en puerta de entrada a los llanos occidentales, un territorio extenso y diverso, conocido por su cultura llanera, su hospitalidad y sus paisajes naturales. Cartográficamente, limita al norte con los estados Cojedes, Portuguesa, Mérida y Trujillo; al sur, con Apure; al este, con Guárico; y al oeste, con Táchira y Mérida. Esta diversidad geográfica se refleja en su variedad de climas y ecosistemas, desde las montañas andinas hasta las planicies llaneras.

 

Históricamente, Barinas ha tenido una fuerte presencia rural. En 1950, se estimaba que el 84.8 % de la población vivía en zonas rurales. Sin embargo, en la actualidad, el estado experimenta un crecimiento urbano constante. Según el censo de 2021, su población alcanza el millón de habitantes (Instituto Nacional de Estadística [INE], 2021). Cuenta con 12 municipios y 52 parroquias; el Municipio Barinas, capital del estado, alberga la Parroquia San Silvestre, una localidad ubicada a 36.87 kilómetros de Obispos y 40.06 kilómetros de la ciudad de Barinas. Situada a 128 metros sobre el nivel del mar, San Silvestre ofrece un ambiente tranquilo y un ritmo de vida pausado, ideal para quienes buscan escapar del bullicio urbano.

 

En este sentido, la Parroquia San Silvestre presenta grandes oportunidades para la generación de emprendimientos que invitan a las comunidades y a los jóvenes a apoderarse de las bondades de su región. Una de ellas es una modalidad turística novedosa como el turismo agroecológico, que integra sus tesoros bioculturales, cabalgatas por los llanos hasta visitas a pueblos tradicionales, pasando por degustaciones de gastronomía local y aventuras en la naturaleza, lo que ofrece una experiencia turística única e inolvidable.

 

Fernández (2024) menciona que «esta modalidad turística ejerce un gran papel hacia los valores de la comunidad local. Por ello, el desarrollo rural sostenible permitirá mejor calidad de las actividades comunitarias respetando la naturaleza, la cultura agroecológica, la gastronomía, su gentilicio e idiosincrasia» (p. 5). Por ello, busca como objetivo generar oportunidades de empleos verdes mediante la ruta turística agroecológica Finca El Coporo en el asentamiento rural La Legua, Parroquia San Silvestre, Municipio Barinas, Venezuela.

 

Por esta razón, planteo la interrogante: ¿cómo contribuirá la ruta turística agroecológica Finca El Coporo para la generación de oportunidades en empleos verdes desde el asentamiento rural La Legua, Parroquia San Silvestre, Municipio y estado Barinas? Citando a Addinsall et al. (2017), el turismo agroecológico «es un modelo basado en principios sostenibles, mejorando la vida de los pequeños agricultores, fortaleciendo los vínculos entre el turismo y la agricultura, promoviendo la protección de las tradiciones orales, costumbres, trabajo de la tierra y prácticas agroamigables» (p. 301).

 

De esta manera, la agroecología brinda la oportunidad de la transformación del turismo tradicional al turismo agroecológico a través del aprovechamiento de las potencialidades turísticas, como el proceso de cultivo y comercialización de productos agroecológicos. Rodríguez (2017) indica que así las rutas ofrecen oportunidades de desarrollo sostenible del turismo agroecológico, aplicando políticas a través de «los destinos turísticos, pueden crear experiencias innovadoras y sostenibles que satisfagan las necesidades de los visitantes, generen beneficios económicos y protejan el medioambiente para las generaciones futuras» (p. 20).

 

Por ello, la ruta agroecológica El Coporo ofrecerá una experiencia turística única que permitirá a los visitantes sumergirse en la riqueza natural y cultural de la zona. A través de un recorrido por las fincas y cultivos del asentamiento rural, los participantes podrán aprender sobre las prácticas agrícolas sostenibles, degustar productos frescos y locales, y participar en actividades tradicionales.

 

Ruta turística agroecológica Finca El Coporo como una oportunidad de empleos verdes desde los asentamientos rurales

Para Larrea (2020), las rutas turísticas «son consideradas productos turísticos que están basadas en un recorrido que es presentado con anterioridad y brinda una orientación a los consumidores sobre las actividades que llevarán a cabo en un destino» (párr. 2). Por otra parte, Rodríguez (2017) sostiene que están «constituidas por un conjunto de elementos integrales que son ofertados en el mercado turístico» (p. 48).

 

Por lo expuesto, la ruta turística agroecológica Finca El Coporo es una gran oportunidad para la creación de empleos, aprovechando las potencialidades agrícolas como recursos turísticos agroecológicos. En tal sentido, esta modalidad plantea la experiencia de las prácticas agropecuarias combinando la recreación tradicional con el contacto con la vida del predio, conociendo el modo de vida rural y las tradiciones campesinas, y donde uno de los principales motivos de las visitas sea la interacción con la explotación agropecuaria, forestal, acuícola y otras formas de producción del mundo rural (Herrera, 2009, p. 31).

 

Cabe recalcar que el turismo agroecológico estimula el crecimiento y oportunidades de empleos verdes, y genera nuevos ingresos a los jóvenes mediante el desarrollo de recorridos a las unidades de producción o fincas con potencial turístico (ver Tabla 1).

 

Tabla 1

Matriz de doble entrada sobre el turismo agroecológico

1

Precisamente, el turismo agroecológico es una forma de turismo sostenible que ofrece beneficios para los turistas, las comunidades locales y el ambiente. A pesar de los retos que enfrenta, este sector tiene un gran potencial para seguir creciendo. De acuerdo con Rodríguez (2019), «esta modalidad ofrece al turista la oportunidad de conocer la cultura rural y del campo; además, promueve nuevas formas de convivencia en los contextos regionales del turismo al mantener prácticas agrarias ambientalmente sostenibles» (p. 62). Por ello, la propuesta de diseño de la ruta turística agroecológica El Coporo busca contribuir en las comunidades al mejoramiento de la infraestructura, servicios y desarrollo socioeconómico.

 

Metodología

Las oportunidades de empleos verdes en el marco de la ruta turística agroecológica en la Finca El Coporo, en el asentamiento rural La Legua, Parroquia San Silvestre, Municipio Barinas, Venezuela, sin duda pueden tener un impacto positivo en la salud y el bienestar socioeconómico de los pobladores de la zona. Al promover prácticas agrícolas sostenibles, ganadería responsable, pesca sostenible, artesanía local y gastronomía tradicional, se generan empleos verdes que no solo benefician a los trabajadores directamente involucrados en estas actividades, sino que también contribuyen al desarrollo de la comunidad en su conjunto.

 

Además, al fomentar el turismo rural y la conservación del ambiente, se pueden crear oportunidades de empleo en sectores como el ecoturismo, la educación ambiental, la gestión de áreas protegidas y la promoción de la cultura local. Esto no solo impulsa la economía local, sino que también fortalece la identidad y el orgullo de los habitantes de la zona.

 

El enfoque cualitativo utilizado en esta investigación, según Valle et al. (2022), se caracteriza por comprender las perspectivas, significados y vivencias de los habitantes del asentamiento rural La Legua, en relación con las oportunidades de empleo verde derivadas de la ruta turística agroecológica en la Finca El Coporo. Esto permite profundizar en la realidad social desde la cosmovisión de los sujetos involucrados, aportando una comprensión más completa del fenómeno en estudio.

 

Las unidades de análisis fueron los asentamientos rurales y sus habitantes del sector La Legua, Parroquia San Silvestre, Municipio Barinas, Venezuela. Este estudio busca la exploración de las potencialidades de la ruta turística agroecológica Finca El Coporo como una alternativa para generar empleo verde y mejorar la calidad de vida en los asentamientos rurales. Para ello, se enmarca en el diseño de campo con carácter descriptivo, apoyado en el método y faceta de la investigación acción participativa (IAP), aplicando un diagnóstico del potencial de la zona para el desarrollo del turismo agroecológico. Seguidamente, se plantea el diseño de la ruta turística agroecológica, así como la capacitación a los habitantes de los asentamientos rurales en temas de turismo agroecológico, emprendimiento y gestión empresarial. Sumado a ello, es necesario adecuar estas facetas al procedimiento o pasos para el diseño de productos turísticos.

 

Mendoza (2022) menciona que existen procedimientos o facetas que, combinados con la investigación acción participativa (IAP), podrán dar respuesta en el diseño de la ruta turística agroecológica Finca El Coporo, contribuyendo a la generación de oportunidades de empleos verdes desde el asentamiento rural La Legua, Parroquia San Silvestre, Municipio y estado Barinas. Esta teoría se enfoca en cinco fases, pero en este caso la investigación se realizó en tres facetas: diagnóstico (caracterización del territorio), planificación (potencialidades turísticas) y diseño (diseño técnico del producto turístico).

 

Sujetos de investigación

De acuerdo con Mata (2021): «Los sujetos de estudio son aquellas personas o grupos de personas que forman parte de los colectivos cuyas características, opiniones, experiencias, condiciones de vida, entre otros rasgos y atributos, cobran interés particular para investigaciones con enfoque cualitativo» (párr. 3). Por ello, los informantes claves son artesanos, dueños de fincas, agricultores y baquianos de la zona de La Legua, con fin de recabar la información necesaria sobre las potencialidades turísticas existentes y la generación de oportunidades de empleos verdes.

 

 

Tabla 2

Perfil de los informantes claves

2

La Tabla 2 plantea la selección de los sujetos de investigación desde el contexto del turismo agroecológico. Se tomó como informantes claves al dueño de la Finca El Coporo, un baquiano y un prestador de servicios turísticos; los criterios fueron la comunidad, las unidades de producción y la empresa privada.

 

Técnicas e instrumentos o medios para la recolección de los datos

Según Sánchez et al. (2010), «es el conjunto organizado de procedimientos que se utilizan durante el proceso de recolección de datos» (p. 9). Por ello, se aplicó la observación directa, la revisión documental y la entrevista a profundidad. Además, los instrumentos utilizados fueron las matrices y fichas de levantamiento de inventarios turísticos, libros de campo y guía de entrevista.

Al utilizar un enfoque cualitativo, los investigadores pueden recopilar información detallada y rica en matices sobre las características, necesidades y deseos de los actores involucrados en el desarrollo de la ruta turística agroecológica. Esto permitió identificar oportunidades de mejora y diseñar estrategias que se ajusten de manera adecuada a las particularidades del entorno estudiado.

 

Resultados y discusión

Una vez realizada la recolección de información, se procedió a su análisis por medio de la categorización, contrastación y teorización. En este sentido, la ruta turística agroecológica Finca El Coporo está sustentada por Mendoza (2022) con el método de IAP, el cual se estructura en tres facetas.

 

Fase I. Diagnóstico (caracterización del territorio)

La Finca El Coporo combina los saberes y la historia de la familia Uzcátegui con la fertilidad de la tierra. Se ubica geográficamente en el asentamiento rural La Legua, al sur de la Parroquia San Silvestre del estado Barinas. Su posición cartográfica, latitud norte 12' 5.193" N y longitud 70° 3' 43.632" O, puede resultar útil para aquellos interesados en visitar o aprender más sobre la producción agropecuaria, la biodiversidad y la cultura local.

 

En tal sentido, la unidad de producción familiar El Coporo es un escenario de experiencias únicas. Los visitantes pueden deleitarse con el proceso artesanal de elaboración de queso, un legado que se transmite de generación en generación. Los extensos campos, donde se cultivan diversos productos como maíz, musáceas, tabaco, algodón y ají, ofrecen un espectáculo de colores y aromas que transportan a la esencia rural.

 

En la Tabla 3, se puede visualizar una matriz epistémica de caracterización de los sistemas turísticos según Boullón (2006), que se aplicó a las entrevistas a los sujetos de investigación.

 

Tabla 3

Matriz epistémica de caracterización de los sistemas turísticos, según Boullón (2006)

3 

En la Tabla 3, se evidencia un panorama favorable para el desarrollo de un producto turístico agroecológico en la zona. Sin embargo, es necesario abordar las debilidades y amenazas identificadas para garantizar el éxito del proyecto a largo plazo. Para López y Dávila (2022): «Es una de las actividades que privilegia la preservación y la apreciación del entorno tanto natural como cultural, que acoge a los viajantes y representa un factor indispensable para el desarrollo turístico» (p. 11). Por ello, la oferta turística sostenible propiciará que el asentamiento rural y las unidades de producción aprovechen los recursos bioculturales, la gastronomía y las prácticas agroecológicas de la zona. Además, la afluencia considerable de visitantes, especialmente en temporadas altas, promoverá el desarrollo endógeno, generando oportunidades de empleos verdes y la integración de los jóvenes en el mejoramiento de la infraestructura y las comunidades receptoras.

 

Asimismo, la cobertura de necesidades esenciales, como salud, educación y seguridad, facilitará el desplazamiento y la estadía de los visitantes, con el fin de optar por hospedajes variados, incluyendo posadas y hatos. A su vez, la oferta gastronómica, con énfasis en la comida típica de la región, se suma a actividades recreativas, de contemplación, y de avistamiento de la flora y fauna autóctona. Fernández (2024) sostiene:

«El turismo agroecológico ayudará a promover el patrimonio biocultural, además de las prácticas amigables en el cultivo, procesos de ordeño y costumbres, utilizando rutas, senderos o visitas a fincas con potencial turístico» (p. 1). Por ello, el fuerte arraigo a las tradiciones locales, entre ellas, fiestas patronales, faenas llaneras y gastronomía típica.

 

Por otra parte, la atractividad promete una amplia gama de actividades y experiencias para ofrecer a los visitantes, creando oportunidad para conocer y apreciar las tradiciones y costumbres de la región. Por eso, la Organización Mundial del Turismo (2020) señala que «un producto turístico es un conjunto de componentes tangibles e intangibles, incluidos los recursos o atractivos turísticos, la infraestructura, las actividades de ocio, la imagen y el valor simbólico, que satisfacen motivaciones y expectativas, y son percibidos como un producto turístico experiencia» (p. 10). Por ello, las rutas turísticas agroecológicas permiten integrar un conglomerado de elementos como los atractivos, servicios, actividades, accesibilidad y gastronomía.

 

Fase II. Planificación (análisis de las potencialidades turísticas)

En esta faceta, según Mendoza (2022), las potencialidades turísticas «están reflejadas por la demanda y la oferta (atractivos, productos y servicios turísticos) de un territorio con potencialidades turísticas» (p. 11). En este caso, se identificarán, clasificarán y jerarquizarán los atractores existentes, y a su vez se realizará el análisis de FODA (fortalezas, oportunidades, debilidades y amenazas) con el fin de diseñar la ruta turística agroecológica Finca El Coporo.

 

Fernández (2023) plantea que «los inventarios turísticos se consideran la base en la gestión de los territorios con potencial turístico» (p. 38). Para ello, según el Centro Interamericano de Capacitación Turística (CICATUR, 2019), «un inventario turístico se caracteriza por categorías o tipos, clase y jerarquías» (p. 14). Conjuntamente, se clasifican los recursos turísticos en dos grandes categorías: natural y cultural. Además, se coloca la jerarquización de cada atractivo o recurso existente.

 

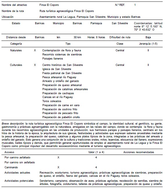
En la Tabla 4, se pretende construir una matriz donde se identificarán la categorización, tipo y jerarquía de los recursos turísticos.

 

Tabla 4

Matriz de categorización, tipo y jerarquía de los recursos turísticos

4

La Tabla 4 presenta una amplia variedad de atractivos turísticos, tanto culturales como naturales, que conforman una oferta de recursos turísticos. Se destaca la presencia de elementos propios de la identidad llanera, como las faenas ganaderas, la pesca artesanal, las fiestas patronales y la gastronomía típica. Naranjo y Martínez (2022) indican que la oferta turística está constituida por productos, servicios y atractivos singulares; en este sentido, se distribuye en dos categorías (14 culturales y 3 naturales), considerando a los de tipo histórico, arquitectónico, festividades, prácticas agroamigables y gastronomía local como de jerarquía nivel II.

 

Ahora bien, la demanda turística está perfilada entre los 50 y 600 visitantes al año, con mayor afluencia en las temporadas altas. En la Tabla 5 se presenta el análisis de las potencialidades turísticas agroecológicas.

 

Tabla 5

Matriz FODA (análisis de las potencialidades turísticas agroecológicas)

5

 En la Tabla 5, se evidencia la existencia de un alto potencial para el desarrollo de un producto turístico agroecológico sostenible en la zona. Sin embargo, es necesario abordar las debilidades y amenazas identificadas para garantizar el éxito del proyecto a largo plazo. Se requiere un trabajo conjunto entre las autoridades locales, la comunidad y los prestadores de servicios turísticos para aprovechar al máximo este potencial y convertirlo en un motor de desarrollo económico y social sostenible.

 

Con base en lo expuesto en la Tabla 5, se generará una ficha técnica de levantamiento de información turística, con el fin de diseñar la ruta turística agroecológica Finca El Coporo, que contribuirá a la creación de oportunidades de empleos verdes.

 

Tabla 6

Ficha única: ruta turística agroecológica Finca El Coporo

6 

La Tabla 6 muestra que la ruta turística agroecológica Finca El Coporo tiene un gran potencial para convertirse en un destino turístico agroecológico de referencia en Venezuela. Con una adecuada inversión, promoción y gestión, la finca puede ofrecer una experiencia única a los visitantes y contribuir al desarrollo socioeconómico de la región.

 

Con base en lo anterior, la ruta turística propuesta promoverá nuevas oportunidades de empleos verdes, si se considera que el turismo agroecológico impulsará la economía del asentamiento rural mediante la oferta de alojamiento, gastronomía, recorridos, comercialización de los productos derivados del ordeño, pesca artesanal y agricultura.

 

Fase III. Diseño (diseño técnico del producto turístico)

En esta faceta, Barrera y Bringas (2009) señalan que para la construcción de una ruta turística se deben considerar diversos aspectos. La Tabla 7 plantea una serie pasos con este fin.

Tabla 7

Pasos para la construcción de una ruta turística

7

Nota. Elaboración propia a partir de Barrera y Bringas (2009).

 

En la Tabla 7, el primer paso delimita la propuesta en la Parroquia San Silvestre, específicamente en el asentamiento rural La Legua y la Finca El Coporo. A través del segundo paso, se han identificado 17 recursos turísticos (Tabla 4), tanto culturales como naturales, alojamientos cercanos y emprendimientos gastronómicos en la zona. Asimismo, en el tercer paso, el análisis de las potencialidades turísticas (Tabla 5) muestra 7 estrategias que generarán las oportunidades de empleos verdes mediante la propuesta de la ruta turística agroecológica. Seguidamente, el cuarto paso incluye la elaboración de la ficha de la ruta propuesta (Tabla 6), que destaca los aspectos relevantes relacionados con las prácticas agroamigables que se promueven en la región. Del mismo modo, la cartografía donde se ubican los atractivos en la comunidad es fundamental para orientar a los turistas y visitantes sobre los lugares de interés y facilitar su experiencia en la zona. La visualización de los recursos turísticos en un mapa puede ayudar a planificar mejor las visitas y a aprovechar al máximo lo que la región tiene para ofrecer.

 

Figura 1

Diseño de la ruta turística agroecológica Finca El Coporo

8

En la Figura 1, se observa una propuesta innovadora de ruta turística agroecológica Finca El Coporo, que oferta un recorrido por diversos espacios naturales y culturales, aprovechando las bondades del asentamiento rural La Legua, contenido en un paquete turístico económico. Así, promueve las oportunidades de empleos para los jóvenes, mujeres y finqueros, impulsando la economía local mediante la visita de turistas o visitantes en temporadas altas o bajas para disfrutar de la flora y fauna silvestre, las prácticas agrícolas, ganaderas y pesqueras, degustación platos típicos, su música y bailes tradicionales.

 

El itinerario para visitar la Finca El Coporo comienza en la Plaza del Estudiante, en la ciudad capital de Barinas. Luego se dirige hacia el sur a través de Caroní hasta llegar al asentamiento rural de San Silvestre. Los visitantes tienen la oportunidad de experimentar la belleza del paisaje llanero, el clima y el relieve característico de la región.

 

Al llegar al pueblo, se visualiza el centro histórico de la parroquia. Los visitantes pueden explorar la hermosa iglesia de San Silvestre, sumergiéndose en la historia y la cultura local. Posteriormente, al dirigirse a la Finca El Coporo a través de La Legua, se aprovecha la oportunidad de disfrutar de diversas actividades como paseos a caballo, recorridos por los cultivos de maíz y otros rubros agrícolas, avistamiento de la flora y fauna silvestre, participar en el ordeño y la preparación de queso artesanal, degustar la gastronomía local y visitar el río Paguey, disfrutando de paseos en balsas, pesca artesanal y la preparación de pescado frito.

 

Asimismo, se deleitan con las ricas catalinas, paredañas y/o cucas, en léxico coloquial de la región llanera. Este emprendimiento es una oportunidad de generación de empleos verdes, como la propuesta de la señora

María Uzcátegui, como legado artesanal gastronómico en la preparación de esta suculenta merienda que representa la idiosincrasia e identidad local.

 

En síntesis, este itinerario ofrece oportunidades de empleo que se convierten en emprendimientos con legados artesanales. Otorga a los visitantes la posibilidad de sumergirse en la vida rural de Barinas, conocer la cultura local, disfrutar de la naturaleza y saborear la deliciosa comida tradicional de la zona. Sin duda, una experiencia enriquecedora y memorable para quienes tengan la oportunidad de vivirla.

 

Oportunidades de empleo verde: ruta turística agroecológica Finca El Coporo

La ruta turística agroecológica Finca El Coporo genera diversas oportunidades de empleo verde para los habitantes de los asentamientos rurales cercanos. Estas oportunidades se clasifican en las siguientes categorías:

 

1.    Empleo en la gestión y operación de la ruta

       Guías turísticos: los guías turísticos son responsables de acompañar a los visitantes en los recorridos por la ruta, brindándoles información sobre los atractivos naturales y culturales de la zona.

       Cocineros: los cocineros preparan alimentos con ingredientes locales, ofreciendo a los visitantes una experiencia culinaria auténtica.

       Artesanos: los artesanos elaboran productos tradicionales utilizando técnicas artesanales, los cuales pueden ser vendidos a los turistas como souvenirs.

       Personal de apoyo: el personal de apoyo se encarga de tareas como la limpieza, el mantenimiento y la recepción de visitantes.

 

2.    Venta de productos locales a los turistas

       Productos agrícolas: los agricultores locales pueden vender sus productos frescos (frutas, verduras, hortalizas) a los turistas.

       Productos artesanales: los artesanos pueden vender sus productos tradicionales (textiles, cerámica, joyería) a los turistas.

       Productos gastronómicos: los emprendedores locales pueden ofrecer productos gastronómicos elaborados con ingredientes locales (dulces, conservas, licores).

 

3.    Prestación de servicios turísticos complementarios

       Alojamiento: los habitantes pueden ofrecer alojamiento a los turistas en sus casas o en cabañas rústicas.

       Transporte: los habitantes pueden ofrecer servicios de transporte a los turistas, utilizando medios tradicionales como caballos o bicicletas.

       Guías especializados: los habitantes con conocimientos específicos en áreas como la observación de aves o la botánica pueden ofrecer servicios de guía especializada a los turistas.

 

En consonancia, el empleo verde en el turismo agroecológico presenta una oportunidad única para integrar de manera armoniosa la conservación del entorno natural, la valorización de la cultura local y el desarrollo económico sostenible de las comunidades rurales. Al enfocarse en prácticas sostenibles y en la preservación de los recursos naturales, el turismo agroecológico no solo ofrece experiencias auténticas a los visitantes, sino que también proporciona beneficios tangibles a los habitantes locales.

 

Asimismo, los distintos roles dentro de la gestión y operación de la ruta turística, como guías turísticos, cocineros, artesanos y personal de apoyo, no solo generan empleo directo, sino que también fortalecen la identidad cultural y promueven la economía local a través de la venta de productos y servicios autóctonos. Estas actividades complementarias, como la venta de productos locales a los turistas y la prestación de servicios turísticos especializados, diversifican las oportunidades de empleo y contribuyen al desarrollo integral de las comunidades rurales.

 

De esta forma, los beneficios del empleo verde en el turismo agroecológico son significativos. Además de mejorar los ingresos y el empoderamiento económico de los habitantes locales, el enfoque en la conservación ambiental garantiza la preservación a largo plazo de los recursos naturales y la biodiversidad. Asimismo, el desarrollo social derivado del empleo verde se traduce en la promoción de la educación, la capacitación y el fortalecimiento de las capacidades locales.

 

En síntesis, el empleo verde en el turismo agroecológico no solo impulsa la actividad económica de las comunidades rurales, sino que también fomenta la sostenibilidad ambiental, el arraigo cultural y el bienestar social de quienes habitan en estos entornos. Es una estrategia integral que promueve un desarrollo armonioso y equilibrado, beneficiando tanto a la población local como a los visitantes que buscan experiencias auténticas y respetuosas con el medioambiente.

 

Asumiendo lo expuesto, la generación de oportunidades de empleos verdes mediante la ruta turística agroecológica en la Finca El Coporo en La Legua, Parroquia San Silvestre, Municipio Barinas, Venezuela, requiere de un enfoque integral que promueva la sostenibilidad, el desarrollo local y el bienestar de la comunidad. Tal como mencionan Fernández (2024) y Addinsall et al. (2017), el turismo agroecológico se centra en experiencias turísticas que promueven la sostenibilidad, la agricultura orgánica, el respeto por el ambiente y la participación de las comunidades locales. En este contexto, es común que las prácticas agrícolas sean un componente central de la oferta turística, lo que puede generar empleo en actividades como la producción de alimentos orgánicos, la gestión de huertos y granjas, la elaboración de productos artesanales, la guía turística especializada, entre otros.

 

Además, el turismo agroecológico tiende a fomentar la preservación de la cultura local, promoviendo la participación de la comunidad en la oferta turística y resaltando las tradiciones, la gastronomía y el patrimonio cultural de la región. Esto puede crear oportunidades de empleo en sectores como la artesanía, la cocina tradicional, la interpretación del patrimonio, entre otros.

 

Valencia (2020) hace hincapié que «es una actividad que ofrece como servicio al turista de prácticas agroecológicas para la gastronomía típica, pesca artesanal y la elaboración artesanal de instrumento de pesca.

 

Así como también brindar el servicio de hospedaje comunitario» (p. 17). El turismo agroecológico es una herramienta poderosa para la generación de empleos verdes en comunidades rurales, al promover prácticas sostenibles, la participación local y el desarrollo económico basado en la preservación del entorno natural y cultural.

 

Conclusiones

La propuesta de una ruta turística agroecológica en la Finca El Coporo no solo puede impulsar el turismo sostenible en la comunidad local, sino que también puede ser una fuente de empleos verdes en diversas áreas. Algunas oportunidades de empleo que podrían surgir incluyen la implementación de prácticas agroecológicas en la producción de alimentos orgánicos, el cuidado de cultivos y la gestión sostenible de recursos naturales. Además, la creación de la ruta turística podría generar empleos como guías turísticos especializados, personal de atención al visitante, gestión de reservas y actividades recreativas relacionadas con la naturaleza.

 

Asimismo, la promoción de la gastronomía local y la oferta de productos agroecológicos en la ruta también pueden impulsar la demanda de empleos en áreas como chefs, cocineros y personal de servicio en restaurantes y establecimientos de comida. La venta de productos artesanales locales en la ruta turística podría crear oportunidades para artesanos locales y emprendedores en el sector de la artesanía. Además, la ruta turística agroecológica puede generar empleos indirectos en sectores relacionados, como transporte, construcción y mantenimiento de infraestructuras turísticas, comercialización de productos locales y promoción de la cultura y tradiciones locales.

 

En síntesis, la generación de empleos verdes mediante la ruta turística agroecológica contribuirá al desarrollo económico de la comunidad local, fomentará la conservación del medioambiente y fortalecerá la identidad cultural de la región. Es fundamental establecer políticas y programas de capacitación para garantizar la calidad, inclusividad y respeto del entorno de los empleos generados. Además, se deberá promover la capacitación de la comunidad local en habilidades necesarias para trabajar en el sector turístico agroecológico, fortalecer la infraestructura y servicios turísticos, promocionar la ruta turística a través de canales de marketing y establecer alianzas con empresas y organizaciones del sector para asegurar el éxito de la iniciativa.

 

Conflicto de intereses

No existe conflicto de intereses alguno.

 

Responsabilidad ética

Declaro que la investigación se basa, casi en su totalidad, en observaciones de campo y registro documental realizado personalmente. Se han citado adecuadamente investigaciones previas, reconociendo la autoría correspondiente; de igual forma, las fuentes primarias mantienen la fidelidad del caso, pudiendo ser corroboradas en los archivos consignados.

 

Referencias

Addinsall, C., Scherrer, P., Weiler, B., & Glencross, K. (2017). Un modelo de agroturismo ecológico y socialmente inclusivo para apoyar los medios de vida de los pequeños agricultores en el Pacífico Sur. Revista de Investigación Turística de Asia Pacífico, 22(3), 301-315. https://doi.org/10.1080/10941665.2016.1250793

Barrera, E., & Bringas, O. (2009). Rutas alimentarias: una estrategia de negocios inclusivos que vincula las políticas agrarias y turísticas. Études Caribéennes, 13-14. https://doi.org/10.4000/etudescaribeennes.3828

Boullón, R. C. (2006). Planificación del espacio turístico (4.a ed.). Trillas.

Bracho, M. (2010). Técnicas e instrumentos de recolección de información: análisis y procesamiento realizado por el investigador cualitativo. Trillas.

Centro Interamericano de Capacitación Turística (CICATUR). (2019). Diseño y operación de productos agroturísticos. Instituto Interamericano de Cooperación para la Agricultura (IICA). https://repositorio.iica.int/handle/11324/8653

Creswell, J. (2012). Educational research: Planning, conducting and evaluating quantitative and qualitative research (4.ª ed.). Pearson. Fernández, A. (2023). Inventario de los recursos turísticos para el desarrollo del turismo agroecológico. Revista de Investigaciones Agroempresariales, 10(1), 38-51. https://revistas.sena.edu.co/index.php/riag/article/view/5712

Fernández, A. (2024). Contribución del patrimonio biocultural en el diseño de producto turístico agroecológico para el desarrollo sostenible de las comunidades rurales. Retos Turísticos, 23(1). https://retosturisticos.umcc.cu/index.php/retosturisticos/article/view/67

Faux, D., & Domínguez, A. (2023). Desarrollo, jóvenes campesinos indígenas y turismo alternativo. Reflexiones para su integración. Revista de Turismo e Identidad, 4(1), 71-104. http://revistas.uncu.edu.ar/ojs3/index.php/turismoeindentidad

Herrera, R. (2009). Estudio sobre turismo rural en Chile. Instituto Interamericano de Cooperación para la Agricultura.

Instituto Nacional de Estadística (INE). (2021). Estimación de población general. https://sumate.org/AN_2020/ circunscripciones_electorales_2020_tablas_y_mapas.pdf

Larrea, E. (2020, 3 de diciembre). ¿Qué son las rutas turísticas? Entorno Turístico. https://www.entornoturistico.com/que-son-las-rutas- turisticas/

López, L., & Dávila, M. (2022). Ruta del plátano como emprendimiento agroturístico en la comunidad Santo Domingo de la parroquia Rómulo Betancourt, Municipio Barinas, estado Barinas [Trabajo de grado no publicado]. Universidad Nacional Experimental de los Llanos Occidentales Ezequiel Zamora.

Mata, L. (2021, 26 de enero). Los sujetos de estudio. Investigalia. https://investigaliacr.com/investigacion/los-sujetos-de-estudio/#:~:text=Cuando%20hablamos%20de%20sujetos%20de,es%20la%20investigaci%C3%B3n%20de%20campo

Mendoza, K. (2022). Diseño de un producto turístico rural en la Finca Voluntad de Dios, como iniciativa de desarrollo local, en el Recinto Las Mercedes del Cantón 24 de Mayo, provincia de Manabí [Tesis de grado, Universidad Estatal del Sur de Manabí]. Repositorio Digital UNESUM. http://repositorio.unesum.edu.ec/handle/53000/3647

Naranjo, M. R., & Martínez, M. A. (2022). La oferta turística: precisiones teóricas para su análisis. Encuentros. Revista de Ciencias Humanas, Teoría Social y Pensamiento Crítico, 16, 406-422. http://www.encuentros.unermb.web.ve/index.php/encuentros/article/view/335/288

Organización Mundial del Turismo. (2020). Desarrollo de productos turísticos. https://www.unwto.org/es/desarrollo-productos-turisticos

Rodríguez, G. (2019). El agroturismo, una visión desde el desarrollo sostenible. Centro Agrícola, 46(1), 62-65. http://scielo.sld.cu/pdf/cag/v46n1/0253-5785-cag-46-01-62.pdf

Rodríguez, M. C. (2017). Diseño de una ruta turística entre el cantón Baños de Agua y la comunidad de Santa Rosa de Runtún, Provincia de Tungurahua, Ecuador [Tesis de grado, Universidad Regional Autónoma de los Andes]. Repositorio Institucional Uniandes. https://rraae.cedia.edu.ec/Record/UNIANDES_c128b87e184e5c91b4a688062fe685c4

Rodríguez, W., & González, W. (2022). Ruta turística agroecológica en el Jardín Botánico Ezequiel Zamora (UNELLEZ), Parroquia Alto Barinas, Municipio Barinas, Estado Barinas. Universidad Nacional Experimental de los Llanos Occidentales Ezequiel Zamora.

Sánchez, M., Fernández, M., & Díaz, J. (2021). Técnicas e instrumentos de recolección de información: análisis y procesamiento realizado por el investigador cualitativo. Revista Científica UISRAEL, 8(1), 107-121. https://doi.org/10.35290/rcui.v8n1.2021.400

Sánchez-Ruiz, J., Coronel-Curimilma, L., Suárez-Jaramillo, A., & Maza-Ortega, M. (2020). Ruta turística Maíz y Cascadas: estudio de caso con un enfoque del turismo cultural y natural. Universidad, Ciencia y Tecnología, 24(99), 54-61. https://uctunexpo.autanabooks.com/index.php/uct/article/download/295/524/

Valle, A., Manrique, L., & Revilla, D. (2022). La investigación descriptiva con enfoque cualitativo en educación. https://repositorio.pucp.edu.pe/index/handle/123456789/184559

Valencia, E. (2020). Análisis de la percepción turística de los habitantes de la Parroquia La Unión del cantón Babahoyo para la implementación del turismo agroecológico [Trabajo de grado, Universidad Técnica de Babahoyo]. Repositorio Digital UTB. http://dspace.utb.edu.ec/handle/49000/9077

 

 

Alfonso José Fernández

Universidad Nacional Experimental de los Llanos Occidentales Ezequiel Zamora, Venezuela.

Maestrante en Planificación Turística por la Universidad Nacional Experimental Francisco de Miranda, Venezuela. Maestrante en Ciencia de la Educación por la Universidad Nacional Experimental de los Llanos Occidentales Ezequiel Zamora, Venezuela. Licenciado en Turismo Agroecológico por la Universidad Nacional Experimental de los Llanos Occidentales Ezequiel Zamora, Venezuela. Docente y coordinador académico virtual del Centro Iberoamericano de Altos Estudios en Hotelería y Turismo, Venezuela.

alfjosefer@gmail.com

ORCID: https://orcid.org/0000-0002-0678-7014

 

Este es un artículo Open Access publicado bajo la licencia Creative Commons Atribución 4.0 Internacional (CC-BY 4.0).

9